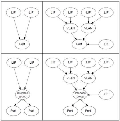
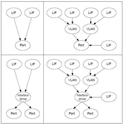
Logical Interface (LIFS) can be hosted on physical ports, interface groups, VLANS and physical ports or interface groups that host VLANS.
To show information on the network ports and LIFs information, do use the following commands
cluster1::> network port show cluster1::> network port ifgrp show
